近日,德赢德赢winac米兰侯莹教授与中国科学技术大学殷月伟教授合作,选择耐冻性强的聚乙烯(PE)薄膜作为基体材料,在电容性能优化方面取得新进展,相关成果以“Enhancing energy storage performance of polyethylene via passivation with oxygen atoms through C-H vacancy carbonylation”为题发表于Materials Today Energy (2024, 42, 101553) 期刊。

电介质电容器是工业激光器、医疗除颤器等现代电子设备和脉冲功率系统中的关键部件,尤其是随着新能源的发展,在电动汽车交直流转换、光伏/风力发电机并网等领域获得了广泛的应用。相较于陶瓷电介质材料,聚合物电介质材料展现出优异的化学稳定性、可拉伸性和独特的自愈性等优势,成为较为理想的薄膜电容器电介质材料。目前,聚合物薄膜电容器所面临的两大挑战是需要提升电容储能密度和严酷环境下的性能稳定性。特别是面向低温储能应用方面,对于介电储能性能优异、宽温区介电特性稳定的聚合物基电介质材料的研究目前鲜有报道。

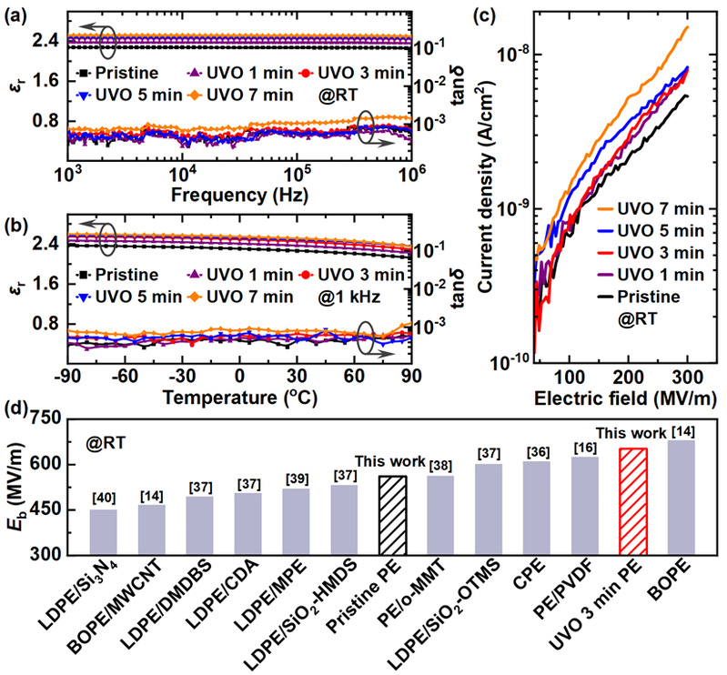
图1. 不同时间UVO处理后的PE薄膜的介电、电导和击穿特性。不同时间UVO处理后的PE薄膜的介电常数与介电损耗在室温下的(a)频率稳定性和(b)在频率为1 kHz下的温度稳定性,(c)室温下漏电流密度。(d)本工作与已报道的PE基电介质材料击穿场强的比较。
合作团队选择耐冻性强的聚乙烯(PE)薄膜作为基体材料,采用简便可控的紫外臭氧(UVO)表面改性工艺在薄膜表面引入极性羰基官能团,同时提升介电常数和击穿场强,实现了PE基材料中在储能效率高于95%条件下最高的放电能量密度。特别是,经UVO表面改性后的聚乙烯膜还具备良好的宽温区(-90℃至90℃)温度稳定性、充放电循环稳定性和极具应用价值的自愈性。

图2.不同时间UVO处理后的PE薄膜的介电储能性能和温度、充放电循环稳定性。(a)经不同时间UVO处理后的PE薄膜在不同电场下的室温放电能量密度和储能效率,(b)在储能效率大于95%的条件下,本工作与已报道的PE基电介质材料的最大放电能量密度的比较。UVO 3 min PE薄膜的(c)D-E曲线的温度稳定性,(d)200 MV/m下的放电能量密度和储能效率的温度稳定性,(e)-85℃、常温、85℃条件下的充放电循环稳定性测试。
通过傅里叶变换红外光谱、热激励去极化电流等实验测试结合第一性原理计算分析,发现电容储能性能的优化与UVO表面改性聚合物后薄膜表面极性羰基官能团的形成有关。薄膜表面引入极性羰基不仅提升了PE基体的介电常数,而且可以有效地钝化了PE基体表面H空位、调整与H空位缺陷相关的陷阱能级深度,避免因电荷积累和电场畸变导致的薄膜表面闪络,从而提升了击穿强度,最终实现了PE放电能量密度的显著提升。该工作采用的UVO表面改性工艺简便可控、成本低廉,有希望推动聚乙烯基电介质材料的产业化应用。
论文第一作者是中国科学技术大学德赢winac米兰博士生贾江恒,德赢德赢winac米兰侯莹教授为共同通讯作者。该项研究得到了国家自然科学基金、国家重点研发计划等项目的资助。
论文链接:https://doi.org/10.1016/j.mtener.2024.101553